|
We have characterised the genomic landscapes of several tumour types that are more prevalent in the Asian population, such as upper urinary tract urothelial cancer in Taiwan, cholangiocarcinoma in the north-east of Thailand, NK/T-cell lymphoma, and fibroepithelial tumours of the breast. Interestingly, many of the novel mutations identified involve chromatin enzymes, and this prompted us to examine how they perturb chromatin biology and the epigenome in tumorigenesis. Using epigenomic tools, such as chip-sequencing and methylation profiling, we are now characterising the epigenomic profiles associated with these mutations. We also have established and profiled tumour cell lines from patients as tools for mechanistic studies to study the functional roles of these mutations and their potential as therapeutic targets. We also work closely with clinicians, including oncologists, surgeons and pathologists, to understand the clinical implications of our findings, particularly how the mutations in these genes are correlated with various clinical-pathological parameters (tumour grade, stage, survival, and drug response). Finally, we collaborate with pharmaceutical and biotechnology companies to work on novel epigenetic therapeutic targets. Below are some of the research highlights on these cancer types: |
|
Biliary Tract Cancer |
|
Bile Duct Cancer or cholangiocarcinoma (CCA) is an aggressive cancer without effective therapy. It is also endemic in certain parts of South East Asia, particularly in the north east region of Thailand where the disease is considered a long-term outcome of chronic liver fluke-related infestation through local dietary habits. In collaboration with the University of Khon Kaen, the group has been studying this cancer by focusing on its genome (Ong et al., Nature Genetics, 2012). More recently, we also compared the spectrum and frequency of mutations between the liver-fluke and non liver-fluke related CCA and found distinct mutation signature for both groups (Chan-on et al., Nature Genetics, 2013). We are currently working on the whole-genome sequencing of CCA from different parts of the world as part of the ICGC (International Cancer Genome Consortium, https://icgc.org, Jusakul et al., Cancer Discov., 2017) project. |
![]() |
Fibroepithelial Tumors of the Breast |
|
![]() ![]() |
Fibroepithelial neoplasms of the breast are a distinct category of breast disease consisting of the very common benign breast fibroadenoma to the relatively rare phyllodes tumors. The latter is further subdivided into benign, borderline, and malignant grades based on their histological features. While FAs affect millions of women worldwide annually, PTs occur at a lower frequency of approximately 1% or less of breast tumors and up to 7% of Asian breast cancers. The diagnosis and classification of PTs often present challenges to pathologists, particularly in the distinction of benign PT from FA. There is currently also no effective therapy for PTs besides surgery. We have recently characterized the genomic landscape of breast fibroepithelial tumors (Lim et al., Nature Genetics, 2014; Tan et al., Nature Genetics, 2015) including the discovery of
|
Urological Cancer |
||
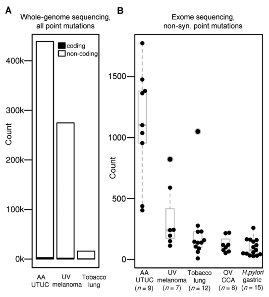
In renal cell carcinoma (RCC), our collaboration with the Sanger Institute, UK, has led to the discovery of frequent mutations in chromatin enzymes (Dagliesh et al., Nature, 2010; Valera et al., Nature 2011) and our group is currently working on the mechanistic and functional aspects of these genes in this cancer type. One aspect of investigations involves the profiling of epigenomic modification related to key RCC-related driver mutations. Very recently, through the studies of RCC-related cachexia model, and in collaboration with the Genome Institute of Singapore and medical oncologists at NCCS, one of the molecular mechanisms involved in irreversible wasting of muscle mass in terminally ill patients was identified, which can be alleviated by targeting excessive fatty acid oxidation (Fukawa et al., Nature Medicine, 2016). Separately, we have recently identified the global mutation signature associated with Aristolochic Acid (AA), a chemical found in certain herbal products in urothelial cancer (Poon et al., Science Translational Med, 2013). The signature has been used as a molecular finger print to screen for exposure to this herbal carcinogen in other cancer types such as bladder cancer (Poon et al., Genome Medicine, 2015). We are continuing our screening works and are trying to find ways to target therapeutically these AA-associated tumors. For example, one of the most frequently mutated genes in urothelial cancer is UTX and our group is currently studying how the gene contributes to the tumorigenesis of urothelial cancer and how we can therapeutically target this mutation. |
![]() ![]() |
![]() |
|
Chromatin Therapeutics |
|
|
Recent whole-genome and whole-exome sequencing efforts have revealed that chromatin enzymes (CE) are among the most frequently mutated gene class in both solid and hematological malignancies. We have previously identified CE mutations in human cancers including those of kidney (Daglish, et al., Nature, 2010; Varela et al., Nature, 2011), bile duct, (Ong et al., Nature Genetics, 2012; Chan-on et al., 2013), stomach (Zang et al., Nature Genetics, 2012) and urothelial cancer (Poon et al., Sci Transl Med, 2013). These mutations include loss-of-function (LOF) mutations in CE such as PBRM1, ARID1A, MLL3, SETD2, and UTX. To date, whether these mutated genes can serve as potential therapeutic targets remain unknown. Our laboratory focuses on synthetic lethality studies and drug screening using cancer cell lines harbouring these mutations. Using in vitro and in vivo cancer models, we also study the effects of CE inhibitors and their mechanism of action. |
|
We have identified in several cancer types novel frequent mutations in chromatin enzymes. The latter include 1) histone modifiers such as UTX, MLL3, SETD2; 2) subunits of the SWI-SNF complex including ARID1A and PBRM1; and 3) subunit of MEDIATOR complex such as MED12. Athough all these genes are involved in gene regulation, the functional relevance of these mutations in tumorigenesis remains largely unknown. To date, we have established patient-derived cancer cell lines and xenografts harboring these mutations. By combining molecular and structural studies, our laboratory will focus on the studies of novel chromatin drugs to help elucidate the roles of these enzymes and their dysregulation in tumorigenesis. Our ultimate goal is to bring this new interesting group of drugs, either as monotherapy or combination therapy, to clinical use. |
|
|
Figure Legend: Somatic mutations in ARID1A and the suppressive role of ARID1A in cholangiocarcinoma cell proliferation. (a) Distribution of ARID1A mutations identified in all cohorts of samples. ARID, AT-rich interactive domain; LXXLL, C-terminal leucine-rich LXXLL motif. (b) Relative proliferation of cell lines H69, EGI-1 and M139 (wild-type ARID1A) depleted of endogenous ARID1A using ARID1A-specific (siARID1A_3) compared to control siRNA. (c) Relative proliferation of the same cell lines exogenously transfected with vector expressing wild-type ARID1A (pCGT- ARID1A) or empty vector (mock). |
|








